NANNY CONTRACT TEMPLATE

ADVERTISEMENT

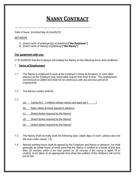
A nanny contract template is a valuable tool for families and nannies alike, providing a structured framework for employment agreements. This document outlines the terms and conditions of the nanny's role, ensuring both parties are on the same page from the start. It is an essential step in establishing a professional and mutually beneficial relationship.

The template typically includes details such as the nanny's duties, working hours, wages, and benefits. It also covers important aspects like vacation days, sick leave, and termination policies. By having a clear and concise contract, families can ensure they have a well-defined understanding of their nanny's role and responsibilities.

For nannies, a contract provides a sense of security and clarity about their employment rights. It ensures they are aware of their working conditions, payment terms, and any additional benefits they are entitled to. This transparency can foster a positive and respectful working environment.

In essence, a nanny contract template is a crucial document that facilitates a smooth and professional relationship between families and nannies, offering a comprehensive overview of the employment arrangement.

🎟️ View Ticket Availability

Secure transaction via Official Partner

Event Gallery

ADVERTISEMENT