HOW TO FIND LCL AND UCL IN EXCEL

ADVERTISEMENT

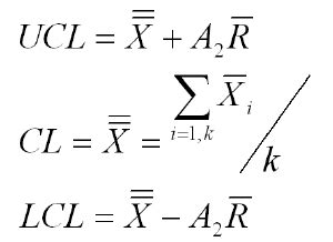
In statistics, understanding the range of data is crucial for making informed decisions. One way to do this is by calculating the Lower Control Limit (LCL) and Upper Control Limit (UCL), which are essential in control charts. These limits help identify whether a process is under control or if there are potential issues. This guide will show you how to find these limits in Microsoft Excel, a powerful tool for data analysis.

The LCL and UCL are calculated based on sample data and control chart parameters, such as the mean, standard deviation, and sample size. Excel provides various functions and tools to simplify these calculations, making it easier for users to analyze their data.

By the end of this tutorial, you'll be able to determine these critical limits, which can assist in process improvement and quality control. Let's explore the steps involved in finding the LCL and UCL in Excel.

The key benefit of understanding how to find LCL and UCL in Excel is the ability to quickly identify process variations and potential outliers, leading to more informed decision-making.

🎟️ View Ticket Availability

Secure transaction via Official Partner

Event Gallery

ADVERTISEMENT